Problemas de Probabilidad
Estadística y Probabilidad Digital
martes, 16 de agosto de 2016
sábado, 13 de agosto de 2016
Variables y su clasificaciòn
Variables
Variable estadística: al conjunto de distintos valores numèricos que adopta un caracter cuantitativo se divide en dos grupos:
Cualitativas o categóricas:
No se pueden medir numéricamente por ejemplo: el color de piel, nacionalidad.
Cuantitativas:
Tienen valor numérico, por ejemplo: la edad de una persona, precio de un producto, etc. Se clasifican en :
Discretas: sólo pueden tomar valores enteros (2,4,6,8).
Continuas: pueden tomar cualquier valor real dentro
de un intervalo (2,5;6.4), por ejemplo: la velocidad
de una motocicleta puede ser 105.3km/h
Variables unidimensionales: solo recogen información sobre una caracteristica, ejemplo: la altura.
Variables bidimensionales: recogen información sobre dos caracteristicas de la poblaciòn, ejemplo: la altura y la edad.
Variables pluridimensionales: recogen información de tres o mas caracteristicas de la población, ejemplo: la altura, edad, sexo, peso, etc.
sábado, 30 de julio de 2016
Probabilidad clasica
Probabilidad clásica
Es el número de resultados favorables a la presentación de un evento dividido entre el número total de resultados posibles. Asignación de probabilidad "a priori", si necesidad de realizar el experimento.
La probabilidad clásica o teórica se aplica cuando cada evento simple del espacio muestral tiene la misma probabilidad de ocurrir.
(Rafael Díaz. 2000)
Fórmula para obtener la probabilidad clásica o teórica:
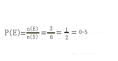
¿Cuál es la probabilidad de obtener un número mayor que 3, en el lanzamiento de un dado?
Si E: 4, 5, 6, entonces el número de resultados favorables es n (E) = 3.
Si S: 1, 2, 3, 4, 5, 6, entonces el número total de resultados posibles es (S) = 6.
Por lo tanto:
Si S: 1, 2, 3, 4, 5, 6, entonces el número total de resultados posibles es (S) = 6.
Por lo tanto:
Esta definición clásica de probabilidad fue una de las primeras que se dieron (1900) y se atribuye a Laplace; también se conoce con el nombre de probabilidad a priori pues, para calcularla, es necesario conocer, antes de realizar el experimento aleatorio, el espacio muestral y el número de resultados o sucesos elementales que entran a formar parte del suceso.
(Rafael Díaz. 2000)
La aplicación de la definición clásica de probabilidad puede presentar dificultades de aplicación cuando el espacio muestral es infinito o cuando los posibles resultados de un experimento no son equiprobables.(Rafael Díaz. 2000)
Ejemplo:
En un proceso de fabricación de piezas puede haber algunas defectuosas y si queremos determinar la probabilidad de que una pieza sea defectuosa no podemos utilizar la definición clásica pues necesitaríamos conocer previamente el resultado del proceso de fabricación.
Para resolver estos casos, se hace una extensión de la definición de probabilidad, de manera que se pueda aplicar con menos restricciones, llegando así a la definición frecuentista de probabilidad:
Suscribirse a:
Comentarios (Atom)


